现货网格机器人是一种自动化交易策略,旨在适应震荡市场,通过设定价格区间和网格数量等参数,实现高抛低吸的交易模式,用户只需简单配置,机器人便能全天候执行买卖操作,避免因情绪波动导致的错误决策,适合新手和有经验的投资者,尤其在市场波动中能够有效获取利润,然而在单边下行的行情中可能面临被套风险,适合的交易对包括主流价值币如BTC_USDT和ETH_USDT,用户可根据市场情况灵活选择,此外,现货网格还提供AI智能网格功能,通过历史数据回测自动生成最佳参数,帮助用户优化投资策略,设置合理的网格区间和数量、降低交易手续费等均可提高收益,而移动网格功能则能根据市场变动自动调整网格区间,进一步提升交易灵活性,整体而言,现货网格交易是一种便捷高效的投资方式。
1.什么是现货网格机器人?
现货网格机器人是一种适合震荡行情,高抛低吸的自动化交易策略,短中长期均适用。您只需要设置价格区间、网格数量等参数,机器人即可运行。运行后机器人将资金有计划的分为若干等分,下跌时分档买入,上涨时分档卖出,随着市场波动,不断低吸高抛套取波动收益。
2.现货网格策略说明
优点:
现货网格机器人对新手友好,能在波动市场中,较大程度避免因个人情绪导致的错误决策。并且全天24小时自动执行买入卖出操作,无需盯盘,即可助您在市场获利;
1.震荡上涨时:用户可从币价上涨和波动套利中实现双重盈利;
2.震荡下行时:通过波动套利,降低用户损失。
缺点:
但是现货网格也不是全能的,因为它只能做多,因此在单边下行的行情容易被套、资金的利用率比较低、容易跑出区间等。
哪些交易对适合现货网格交易
如果您是交易新人,建议您优选共识好、流动性高的主流价值币, 如BTC_USDT,ETH_USDT,可以参考CMC排名前100的数字资产在Gate平台的交易情况。如果您对现货网格交易有较深入的理解,可以尝试其他高波动的交易对来赚取高额利润。
3.现货网格参数说明
现货网格名词解释:
AI智能网格:AI 智能网格是根据近 7 天的历史数据,进行回测,自动算出收益率最高的网格参数: 上限价格、下限价格、网格数量,用户只需选择投资金额比例(选择的投资额必须大于等于最低投资额)。
填充AI数据:自动获取AI智能网格数据并填充。
全部清除快捷键:若用户有多项数据需要清除,可使用该快捷键,无需一个个手动删除,点击后,重新设置参数即可。
下限价格:最低买入价格,市场最新价低于该价格不进行买入,同时下限价格不能执行卖出。
上限价格:最高卖出价格,市场最新价高于该价格不进行卖出,同时上限价格不能执行买入。
网格数量:执行网格的数量,限制 2 到 1000。
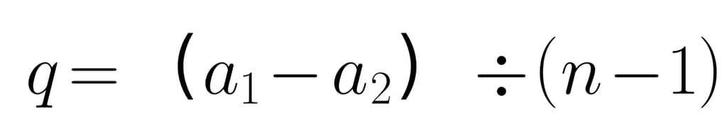
网格间距:假设网格间距为q,网格价格上限为a1,网格价格下限为a2,网格数量为n, 则等差网格间距q计算公式为:
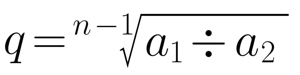
等比网格实际浮动比例q计算公式为:
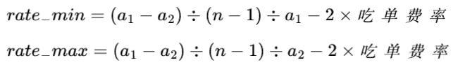
单格收益率:
假设网格间距为q,网格价格上限为a1,网格价格下限为a2,网格数量为n,
等比单格收益率:
等差单格收益率:

单格基础买卖数量:每个网格买卖选择币种的数量
数量递增: 数量递增默认是关闭状态,在开启时,您可以选择按照数量或按照比例来增加每个网格的买卖数量,如图所示:
举例说明: 单格基础买卖数量=1,数量递增=2,代表第一个网格会买卖1个BTC,第二个网格会买卖1+2=3个BTC 第3个网格买卖1+2+2=5以此类推。
高级设置:以上是一些基本参数设置,是用户必填选项。为了页面美观,高级设置并未全部展现在页面中,需用户点击才会显示。高级设置中含有一些选填项,用户可根据自身需要进行填写。
高级设置参数解释:
策略触发价: 当市场最新价小于等于触发价格后,网格才会开始运行;触发价配置需小于最新价,且在网格区间的最低价和最高价之间。
止损价格:市场最新价小于等于该价格时触发止损,必须小于下限价格。
止盈价格:市场最新价大于等于该价格时触发止盈,必须大于上限价格。
结算选项(选填)
终止时卖出所持币种:开启时,当策略结束后将以市价卖出所持币种兑换成USDT。
囤币模式:开启时,该策略网格收益将实时兑换成所选币种。现货网格囤币模式是指币本位下,长期看好币的升值空间,在网格交易时把一买一卖产生的套利利润,按市场最新价买入币,这样把利润换算成币,长期持有币。
开启了囤币模式的网格策略,可以在囤币记录中查看利润买入换成币的交易记录。

注:当网格套利一买一卖利润不足系统每次下单最小金额时,会暂时把利润存储起来,当利润达到最小下单金额时才会按市场最新价买入币。
温馨提示:“终止时卖出所持币种”与“囤币模式”可同时选择。
4.如何创建/终止现货网格
4.1 如何创建现货网格
您有三种创建模式:
1.智能创建:新手用户可直接在推荐机器人板块,采用7天/30天/180天的回测机器人,它是基于历史行情与趋势,并结合智能算法得出的参数配置;
2.跟单创建:如果智能创建未能满足您的需求,可在推荐机器人板块筛选出优质用户,并复制机器人;
3.自定义创建:您可根据自己对震荡行情的区间判断来设置参数触发条件,确认投资金额即可创建网格。
现货网格自主创建流程
WEB端
交易机器人 - 机器人广场 - 创建新机器人 - 选择现货网格 - 创建机器人 - 编辑机器人名称 - 选择交易对 - AI智能推荐/手动配置网格 - 创建

APP端
交易机器人 - 创建机器人 - 现货网格 - 选择交易对 - Ultra AI/ 推荐机器人/手动配置网格 - 创建



4.2如何终止现货网格
您可随时终止现货网格机器人,请注意:
1.现货网格机器人确实不匹配当前行情时,应该停止运行;
2.现货网格机器人并非超短期策略,大部分网格在开启后需要一段时间运行,才会达到预期收益;
3.现货网格机器人低吸高抛的模式,决定了网格收益曲线也应该是先降后升的,机器人一开始亏损,在理论上属于正常现象。
5.如何查看/提取现货网格收益
WEB端:
进入我的机器人 - 进行中机器人 - 现货网格,进入到现货网格机器人订单,即可查看/提取现货网格收益。
APP端:
交易 - 交易机器人 - 我的机器人 - 运行中 - 进入到现货网格机器人订单,即可查看/提取现货网格收益。




6.如何提高现货网格收益
现货网格通过设定价格区间、网格数量等方式,有计划的把资金分为若干等分,下跌时分档买入,上涨时分档卖出,在震荡市场里不断高抛低吸套取网格利润。那如何提高现货网格的收益呢?一般而言,现货网格的收益与网格数量,网格区间,交易手续费等因素密不可分,因此合理设置网格格数及网格区间,以及尽量降低手续费率,都能使网格收益最大化。
6.1 合理设置网格区间
网格区间是指未来一段时间价格的波动区间,即价格的上下限。如果价格区间设置过窄,可允许设置的网格数量越少,便容易波动出范围,导致网格策略失效;如果价格区间设置过宽,对于短期收益来讲,容易错失套利机会,因为不易捕捉小的波动,从而错失收益。
此时,可借助布林带通道,ATR通道,另外可以选择周期较长的K线来设置指标(通常选择日线或者周线)辅助判断。以布林带通道为例,其上下区间分别对应网格的上下限价格,布林带结合了高斯分布的思想,假设价格未来会围绕布林带上下轨波动,突破上下轨的概率很小,而一旦价格突破后很容易走回轨道内,价格越往轨道边沿走的概率也很小,以布林带的上下轨分别作为网格区间上下限,是一种比较简单直接的方法。但是在单边上涨行情中,布林带下轨开口比较大,可能导致整个网格区间偏离较大,最终资金利用率较低,而导致收益率也降低。这时候也可以选择ATR通道作为网格区间判定指标,从下图可知,ATR通道不会像布林带这样出现一个较大的开口,通常可使用一个周线的ATR通道来作为网格区间的上下限。
两种方式确定网格区间:
1.利用布林带
布林带由三条轨道线组成,其中上下两条线分别可以看成是价格的压力线和支撑线,在两条线之间是一条价格平均线,一般情况价格线在由上下轨道组成的带状区间游走,而且随价格的变化而自动调整轨道的位置。当波带变窄时,激烈的价格波动有可能随即产生;若高低点穿越带边线时,立刻又回到波带内,则会有回档产生。
方法:直接寻找布林带(boll)的上下区间,选择对应周期的布林带的上下区间作为价格上下限的参考。通常,布林带标准差越大,所涉及的价格区间越大。如图所示为2倍标准差和3倍标准差的情况下,布林带的应用情况,由图可知,3倍标准差比2倍标准差所涉及的价格区间更大。
图一:2倍标准差
图二:3倍标准差
温馨提示:3倍标准差与2倍标准差的设置可以点击布林线(BB)后面设置图标进行【多元】等方面的设置。
2.利用均幅指标(ATR)
ATR是取一定时间周期内的价格波动幅度的移动平均值,该指标价值越高,趋势改变的可能性就越高,该指标价值越低,趋势的移动性就越弱,它主要用于研判买卖时机。
方法:将对应周期内ATR的价格上下限作为网格区间的上下限。例如,ATR(7) - 代表过去7天的平均真实波动率,可将这7天的价格上下限作为网格区间的上下限。如下图所示:
温馨提示:ATR技术指标可以点击TradingView版K线图下面技术指标图标,然后进行搜索添加。
6.2合理设置网格数量
网格数量,即在价格上限和价格下限中设置的价格数量,一般网格数量会设置在2~200之间。而网格收益=单个网格差价✖️单网格买入数量 ✖️ 已完成卖单数量。网格数量关系着成交频率,若设置数量过多可能导致交易过于频繁,设置数量过低可能导致很久都无法交易。
具体来说,网格数量越多越密集,交易频率越高,越能捕捉到微小的行情波动,成交频率也就越高,但是每笔交易的金额太小,降低了资金利用率,单个网格的收益便会降低,同时频繁交易手续费也会增加;
网格数量越少越稀疏,交易频率越低,无法捕捉微小的行情波动,成交频率降低,但却可以提高资金利用率,单个网格收益越高,同时交易频次低手续费也会降低。
以下图为例,在同等条件下,网格数量多和网格数量导致的差异。假设某用户开了一张BTC/ USDT的网格单,上限价格定在7000USDT,下限价格定在1000 USDT,并以6800建仓。
图一中网格单分别在上下限之间设置了2000 / 3000 / 4,000/5000/6000 5条网格线。当BTC价格变动为6000,5000和4000,3000时挂买单,在价格为3000,4000,6000和7000时挂卖单。
以此类推,每个卖出订单都会被挂上低于当前价格的购买订单。当BTC价格高于7000 或跌破1000时,策略会暂停。当BTC价格回落至网格价格区间时,策略继续进行交易。
从图一可知,网格交易价格曲线上下波动,与设置的网格线共产生27次交集,也就意味着网格交易共执行27次买入和卖出操作,也就是捕捉到了27次行情波动,赚取了13次波动利润,但是由于每格的可用资金为1000U,单格收益比图二低,且需要支付27次交易手续费。
图二中网格单分别在上下限之间设置了3,000/5,000/ 2条网格线。当BTC价格变动为5000和3000时挂买单,在价格为3000,5000和7000时挂卖单。 以此类推,每个销售订单都会被挂上低于当前价格的购买订单。
当BTC价格高于7000 或跌破1000时,策略会暂停。当BTC价格回落至网格价格区间时,策略继续进行交易。从图二可知,价格曲线上下波动时与网格线共产生13次交集,也就意味着网格交易共执行13次买入和卖出操作,也就是捕捉到了13次行情波动,赚取了13次波动利润,但是由于每格的可用资金为2000U,单格收益比图一高,支付13次交易手续费。
通过图一和图二对比可知,网格数量越少,网格交易所捕捉的波动行情越少。图二由于网格间距设置过大,错失了捕捉2000,和4000,和6000价格位的波动机会,因此错失了部分波动利润。但是,图一每格资金利用率低,且因交易频繁,所耗费的手续费更多,单格网格的收益更少,因此网格数量多和少都各有利弊。因此关于网格数量,需要一定的权衡和取舍,可根据时间周期的长短进行网格数量的确定。
6.3 降低费率
网格收益率=网格套利率-交易费率x2。
网格套利所得只是毛利润,需要扣除该笔套利所产生的手续费,剩余的将利润才是此次网格纯收益。因此用户需注意尽量降低交易费,从而提高网格纯收益。
而降低交易手续费可通过以下几种方式:
1.选择费率低的币种, Gate平台目前有一些零费率币种,比如BTC-USDT。
2.提升VIP等级,降低交易手续费
3.在一些流动性好的永续合约里,可以用永续合约代替现货进行交易。
4.合理控制网格区间和数量,降低不必要的交易次数。网格区间,网格数量和交易费率三者是环环相扣的,合理设置区间和网格数量是大前提。
7.现货网格的自动移动网格功能
现货网格高级设置新增【移动网格】功能,能够使机器人网格区间适应行情变化自动上移或下移。
移动网格解释:
运行网格后,若价格突破网格区间,机器人将赋予网格“移动功能”,即随着平均价格的上涨,网格区间的上限与下限都会自动的向上移动,将有效地避免踏空上涨行情或被套牢。
移动网格特点:
第一,网格区间最高价和最低价的移动幅度保持一致,如网格最高价移动10%,最低价也会移动10%。
第二,网格移动后,网格格数不会发生变化。
第三,因网格移动的时候网格数量是不变的,因此单格收益率也不会变,按目前单格收益率的计算公式即可。
移动网格触发条件:
当机器人建仓(或调整了价格区间后),每当最新价格处于网格区间以外切720分钟均线涨跌幅达到设定的比例,机器人就会自动向上或者向下调整价格区间,720分钟均线上涨时会触发网格上移,下跌时会触发网格下移。


如何开启移动网格功能?
交易机器人主页 - 现货网格-点击“交易机器人” - 网格机器人 - 现货网格 - 手动配置 -高级设置- 填写移动网格相关参数
本产品最终解释权归Gate所有。